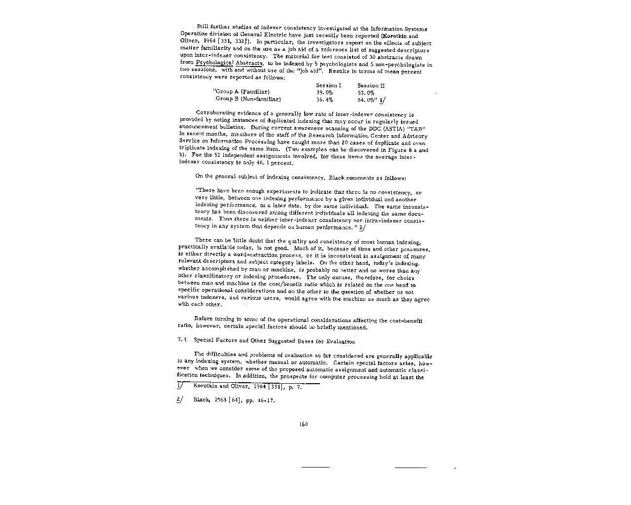
First Previous Next Last Index Text

Slide 18 of 21