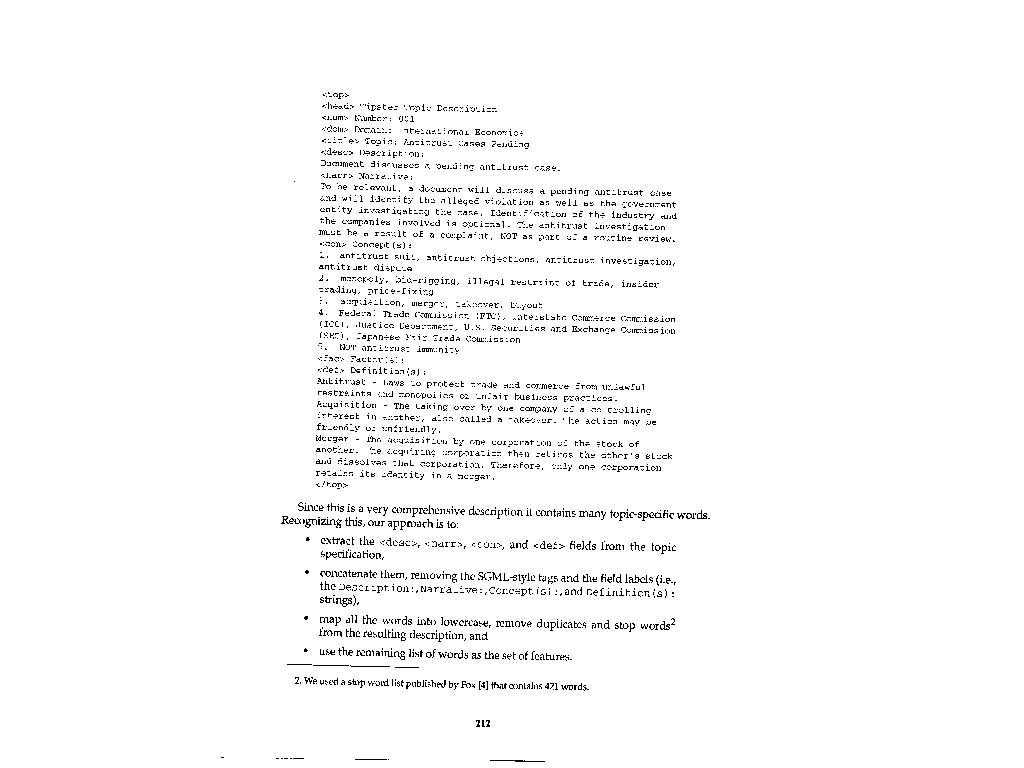
Slide 4 of 20